
哲学家和作家们耗费了无数笔墨试图阐明幸福的起源。什么是幸福?我们如何获得它?当我们获得时,我们能意识到吗?这些都是复杂的问题。但根据伦敦大学学院的研究人员,关于幸福,你需要知道的只有这个:

明白了吗?是的,你正在看的就是预测幸福感的数学公式。但在你取消前往西藏的旅行之前,我们应该指出,这个公式并不能解释你对生活的整体满意度;相反,它可以预测当我们在一场简单的游戏中赢或输奖励时,幸福感水平是如何波动的。使用这个公式,研究人员发现,我们的瞬间幸福感往往更高,不是在事情进展顺利时,而是在事情比预期进展得更好时。
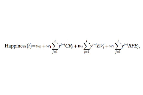
幸福:像“1, 2, 3”一样简单
为了建立他们的公式,研究人员首先召集了26名受试者,他们同意在一台功能性核磁共振成像(fMRI)机器中玩一个赌博游戏。受试者进行不同程度风险的赌博,这将带来金钱奖励或损失。每隔几轮,参与者会以0到10分制对自己的幸福感水平进行评分,这与他们当时的大脑活动相关联。研究人员发现,期望在决定我们的瞬间幸福感方面起着至关重要的作用。例如,当研究中的参与者玩游戏并赢了0美元而不是2美元时,他们的幸福感水平很低,这从自我报告和脑部扫描中都得到了证实。然而,如果他们赢了0美元而不是输掉2美元,他们会感到更快乐——尽管赢的钱数相同。作者将其比作另一个现实世界的例子:如果我们最初被告知有50%的机会延误6小时,那么当航班只延误1小时时,我们会比没有错误警告的情况下更快乐。因此,作者总结道,幸福不在于实际结果——而在于超出预期。
那么现在呢?
研究人员建立他们的幸福公式后,他们在18,000名通过手机应用玩类似游戏的人身上进行了测试。果然,这个公式准确地预测了每一次赢和输带来的幸福感波动。该团队本周在《美国国家科学院院刊》上发表了他们的发现。
然而,尽管降低期望增加了幸福的可能性,研究人员强调,普遍而言,抱持最坏的打算并不是一个好方法。带着消极的心态,你的整体幸福感会受到影响,直到更好的事情发生。但在社会事务,如政治中,他们说降低期望的方法可以增加人们对结果的满意度。所以你明白了:告诉自己真相,但期望政客对你撒谎。这是为了你自己的幸福。













