尽管关于因纽特人有一百个词来形容雪的说法言过其实——他们最多只有几十个词——但语言确实充满了迷人的怪癖,揭示了一个文化的特征。例如,传统上在苏格兰高地以及后来在渔村使用的苏格兰盖尔语方言,有许多非常具体的词语来形容海藻,以及兔子陷阱各个组成部分的名称,还有一个词来形容母鸡产出的无壳蛋。
对于那些觉得这些细节引人入胜的人来说,不幸的是,语言正在以惊人的速度消亡——每14天就有一种语言消失——语言学家们正带着录音机和词汇表匆忙地记录每种语言至少一部分,以免它们彻底消失。正如圣达菲研究所的数学家安妮·坎德勒所指出的那样,古老的语言要想存活下来,唯一的方法是人口本身决定它们具有某种价值,无论是出于爱国主义、文化遗产,还是仅仅为了吸引一些对语言好奇的游客。
假设你已经决定你的语言值得保留。那么你该如何去做呢?
这是一个数学家可以帮助语言学家的领域。几年前,坎德勒和她的同事决定为濒危语言使用者建立一个数学模型,为鼓励学习当地语言的项目提供一种测试环境。他们选择苏格兰盖尔语作为良好的测试案例,因为它有超过100年的使用者数量和人口统计数据。该语言曾经历过起起伏伏,最显著的是在卡洛登战役和高地清理之后,英国当局曾多次试图将其消灭。但尤其是在过去十年中,出现了一股旨在增加盖尔语使用者数量的运动,包括盖尔语广播节目和盖尔语天气预报——甚至还有面向儿童的盖尔语游乐小组。
数学家们建立的模型融合了苏格兰生活各个方面的数字,描绘了盖尔语的进展。有些数字是显而易见的——你必须知道你所研究的人口中有多少人只讲盖尔语,有多少人只讲英语,有多少人会双语,以及盖尔语使用者的流失率。但模型中还包含代表每种语言声望的数字——人们对讲该语言的文化价值——以及描述语言经济价值的数字。

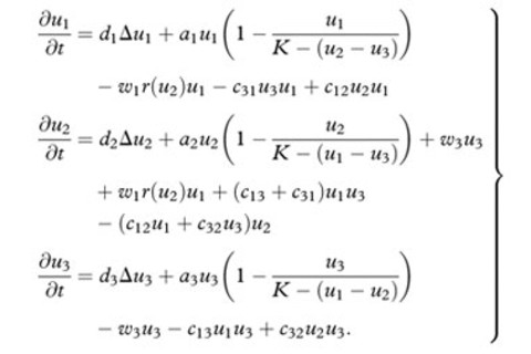
坎德勒的模型:这些偏微分方程分别对应一群使用者:英语使用者、盖尔语使用者和双语使用者。变量代表社会情境的各个方面;例如,c12 和 c32 表示双语使用者成为单语使用者的可能性。| 坎德勒等人
将所有这些数据整合到一个描述三种不同群体(英语使用者、盖尔语使用者和双语使用者)增长的方程组中,你就可以计算出要形成一个稳定的双语人口所需的投入。2010年,坎德勒发现,利用最新的数据,每年必须有860名英语使用者学习盖尔语,才能使使用者数量保持不变。对她来说,这听起来很多,但国家盖尔语发展机构却很高兴:当坎德勒的研究发表时,一位发言人告诉《苏格兰人报》,这大致是他们已经通过课程和项目旨在培养的双语使用者数量。如果更多的盖尔语父母开始将盖尔语传给他们的孩子,提高盖尔语母语使用者的数量,所需的新双语使用者数量可能会减少一半。
一项记录苏格兰盖尔语使用者的最新普查已于2011年完成。目前正在分析这些数据,坎德勒正焦急地等待结果。
坎德勒的模型对苏格兰盖尔语是独一无二的:克丘亚语、奇努克语、伊斯特罗罗马尼亚语等等都需要各自的模型,并考虑其独特的文化情况。例如,圣达菲周围的普韦布洛部落的语言使用者很少——最多只有几百人——许多语言学家估计它们应该早已灭绝。然而它们却一直存在。如果能通过坎德勒的进一步研究,了解是什么因素使这些语言得以存活,以及它们的经验是否可以应用于其他濒危语言,那将会很有趣。















